電磁流量計屬于速度流量計的一種,電磁流量計所測得的體積流量實際上不受流體密度、黏度、溫度和壓力變化的明顯影響,還可應用于腐蝕性流體的測量,因而**應用于工業生產。目前市面上大多數的電磁流量計僅能用于滿管的流量測量,對于流體未充滿管道或者流體在滿管與非滿管之間的轉換過程中,由于管內的流體截面面積不再是測量管的橫截面積,用傳統的流量計得出的結果不準確,所以非滿管流量測量需要測量管內流體平均流速和液位高度這兩個參數。本文中基于電容式傳感器的基本原理,利用流量計村里和管內流體作為介質,同時向兩個圓弧形的電極片通人高頻激勵電壓構成電容式傳感器,測得液位高度和流體的平均流速,從而得出管道未充滿時流體的流量值。
1.電磁流量計的基本工作原理
電磁流量計是根據法拉第電磁感應定律制成的一種測量導電性液體體積流量的儀表。當流體通過電磁流量計時將切割磁力線,在電極兩端產生感應電動勢。其感應電壓信號通
過兩個電極檢出,并通過電纜傳送至轉換器,經過信號處理及相關運算后,將累計流量和瞬時流量顯示在轉換器的顯示屏上。兩個測量電極間的感應電勢E與被測流體的平均流速V有
如下關系:
式中:E為感應電動勢;K為儀表系數;B為磁感應強度;D為測量管的等效直徑;為測量管內流體的平均流速。當體積流量為Q時,可表示為
上式說明,當直徑D和磁感應強度B一定時,流量Q和感應電動勢E呈線性關系,可以通過感應電勢值得出流體流量。
2.非滿管電磁流量計傳感器
2.1非滿管電磁流量計測量原理
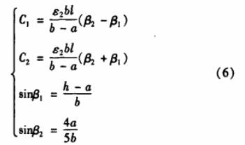
管道式電磁流量計在工作的過程中,可能會出現管道中流體未充滿的情況,或者在流體流動過程中,流體處于滿管向非滿管的轉換狀態中,這時傳統的管道式流量計中的流體會出現2種流動狀態:一種是被測流體過了測量管的中心線,但是未充滿管道的情況,此時如果仍按傳統流量計的測量原理,則實際值=測量值-上部空氣部分
由權重函數的理論可知,電極上感應的信號電壓是電極斷面內所有質點點位的集合,不論流體在管道中橫截面如何變化,流體流動的質點都會有感應電勢,但是這些電勢一定要處于電極的集合范圍內,如果電極暴露在空氣中,電極不會得出感應的流量信號。當流體未充滿管道時,管中流體的實際流量值Q實=A實*V·,而管中流體的截面積為:
式中h為液面高度。
而不再是A=πD2/4,由此可知,非滿管的流量測量須同時測量液位高度和流體的平均流速兩個變量。
2.2非滿管電磁流量計傳感器結構
基于以上原理,通過電容式傳感器的基本原理,流體在流動的過程中,利用流量計襯里和管內流體作為介質,同時在流量計村里與管壁之間采用圓弧形電極片,電極片與村里和管中流體形成電容式傳感器,結構如圖1所示。
如圖1所示結構,圓弧形電極片在高度方向上從10%D到90%D,這樣能保證在此區域內,流體截面積變化時,電磁流量傳感器能準確測得流體流量值。
2.3非滿管電磁流量計工作原理
非滿管電磁流量計采用雙激勵機制,即勵磁激勵和電壓激勵雙激勵機制,在勵磁激勵的作用下,通過勵磁電路產生相應的磁感應強度,從而在電極上得出與流速對應的電勢信號;在激勵電極的作用下,向激勵電極通人高頻電壓,使兩圓弧形電極片與其之間的介質形成電容式傳感器,通過電容量的測量,經過控制系統后得出與電容對應的液位高度信號。兩個過程互不干涉,在通人高頻電壓的時候關閉勵磁,勵磁的時候不通高頻電壓。然后經過控制系統分析處理后得出非滿管流體的相應流量值。整個系統框圖如圖2所示。
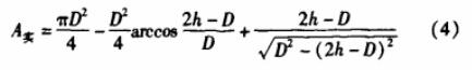
流體在管道內沿與磁感應線垂直的方向流動時,根據法拉第電磁感應定律,會產生感應電動勢,此時,兩電極片、村里和流體一起構成電容式傳感器,如圖3所示。
根據電容式傳感器基本原理,此傳感器的等效電路如圖4所示。
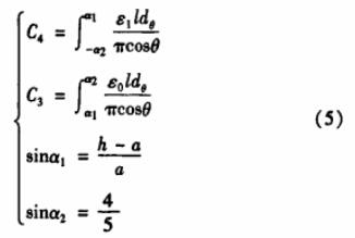
由電容式傳感器基本原理可知,電極片、村里和流體一起構成了變介電常數型電容傳感器,兩極片間電容為上、下兩部分電容并聯而成,其中C1和C3、C2和C4,分別為串聯,其總電容的計算如下
如圖3所示,管中液體將測量管分為上、下兩部分,其中空氣的介電常數為Eo,流體的介電常數為E1,村里的介電常數為E2,根據電容式傳感器模擬計算方法可知:
對于C1和C2,由于極板間間距沒有改變,而且是單一介質,其值可近似作為平行板電容器計算:
式中:a為村里內半徑,m;h為液位高度,m;b為電極內徑,m;l為電極片軸向長度,m
3.非滿管電磁流量計實驗裝量設計
利用兩圓弧形電極片與管中的介質構成電容式傳感器的基本原理,測量非滿管導電流體流量。實驗裝置如圖5所示。

實驗介質是具有一定電導率的液體,為保證液體流動,采用水泵持續供水。實驗裝置采用常用的PVC管作為測量管,同時用聚四氯乙烯作為電磁流量計村里介質,勵磁線圈采用低頻矩形波磁,同時在實驗樣機中接人信號處理和控制、顯示設備等裝置。管到尾部接調節閥以控制流體流動。為保證進入樣機中的流體流動平穩,前部分管道長度保證為樣機管道直徑的5倍。為保證管中流體流動平穩和非滿管液位的要求,更好的測量效果,水箱1采用分層設計,利用插入板的不同高度來控制液位的高度,從而得到不同的液位高度測量。水箱2中裝有實際流量測量裝置,用來和理論值、測量值進行對比。
4.結東語
非滿管電磁流量計的流量測量問題是國內外工業研究的熱點,文中提出一種新的非滿管電磁流量計測量方法,通過理論和實驗分析認為該方法能較為準確地測量非滿管導電流體流量值,同時也提供了一種新的圓弧形結構的液位測量方法。但由于該方法采用圓弧形片電極與介質耦合形成電容值,電極片的安裝工藝要求較高,同時介質材料的選擇須得當。
上一條:
智能型外置式超聲波液位計產品特點工作原理
下一條:
靶式流量計的應用特點及工作原理